Gulls know a mathematics far beyond of Grade School. It’s simple. You cleave a line in two. That’s quantum mechanics. By moving, you maintain it as it spreads. Water helps.
But lines are mysterious. They also make circles, which are more like drops than lines. Step 1, stop.
Step 2, paddle in place, so that you maintain yourself against the momentum of the water, which you previously divided in two.
This sets up fascinating interference patterns. If you’re wondering what’s my point, think of this: if mathematics were based around these principles, instead of those of numbers, well, wouldn’t that be a beautiful thing? For one thing, we wouldn’t have to translate this into numbers to understand it. Instead, we’d have to translate numbers into life to see what they were all about.
What kind of math is that? Aha, it is linear quantum math meeting circular math, in which energy changes from one state to another. Oh, wait, that’s quantum math too!
But, wait, there’s another dimension. Since this math is spoken through the transitory mechanism of light, should one mathematician leave the calculation to initiate another one, he (or she) leaves a secondary trace, recorded not in the lake but in the energy tracks of the calculation alone.
Gull Translated into Quantum Lines
Now, this is gull mathematics, not human mathematics, but, you know, gulls do this with the intersection of their bodies and their world; humans do theirs with the intersection of their minds with the world. That’s great for mind-oriented types. But what about the other 90% of humans? No mathematics at all! Sure, we have dance and poetry and art, but that’s not quite the same thing. What, for instance, is the human equivalent of this (with the different bodies and environments that humans have)?
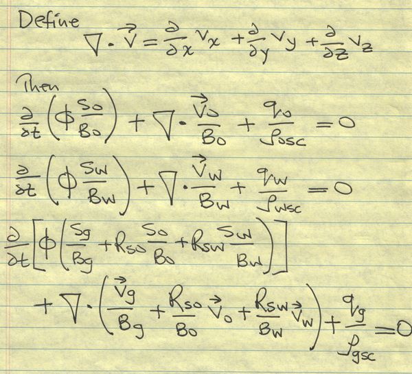
One thing for sure, it is not this:
Categories: Arts, Earth Science, Ethics, Gaia, Nature Photography, Science, Water
















