I’ve been talking about zeroes lately, and suggested that a mathematics without zero would be a mathematics of unity. It wouldn’t lead to contemporary technical society or economics, or even the computer I am composing these words on, but it would lead somewhere — somewhere very physical. Like this, perhaps:
Consider this mathematics. Not a representation of mathematical principles but mathematics itself.
There is no zero present in the above image, because it has not been abstracted from the totality of presence which this rowan represents, back through its ancestors down to the creation of the solar system and through the hearts of other suns to the forces of the Big Bang. They are not present in this rowan, but evolved forms of them are. The zero, the point of reference and balance that unites them and that has, arguably, been present since before the Big Bang, is still present here, but not as zero. It is present as the totality of the moment. Here’s how a mathematician might put that (Easy now, this is math so simple that you don’t even have to slip a disc trying to slip it out of the oven and onto a rack to cool while you whip up some icing):
Three Representations of Everything
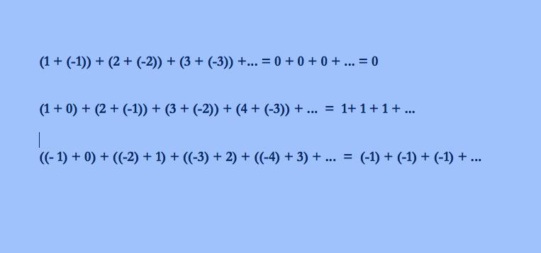
These are three ways of writing all the whole numbers in the world to come to the totality of the universe. Notice, though, that the first equation has zero, nothing, as the totality of everything, the second has a really big number reaching to infinity, and the third a really big number reaching to a different infinity. Here’s the source for this example.
So, if we are to accept the word of mathematicians, the world is not knowable, because there are three incompatible ways of talking about it. You can’t have them all. You have to make a choice and go with that. You just have to say
Either … This …. or … This
The point is that mathematics does not describe the world. It describes mathematics. Like so many intellectual and social pursuits in contemporary society, it has forgotten to look at the world and looks instead for intellectual patterns behind the appearances of the world. If it looks at this, for example…
… it does not see the Big Bang and everything that is, but something like this:
(1 + (-1)) + (2 + (-2)) + (3 + (-3)) +… = 0 + 0 + 0 + … = 0
Compare that with this:
Staghorn Sumacs in First Snow
Compared to those sumacs, the mathematical equation is only a modern variant of the medieval form of theological meditation in which monks held God to be unknowable. They were such practical men and worked at this idea for so long that they hit on the idea of defining God by what he was not, on the principle that if you could list all the things that were not God (and anything you could list would not be God), then what was left over was God. It was an elegant solution, but not the first choice of a truly technological civilization, and so it passed on into a technique used by creative writing teachers at universities. It’s still a clever trick to sidestep Western tradition’s insistence on physicality long enough for other possibilities to appear. Here’s how that appears in a Renaissance perspective:
Madonna with St. Elizabeth and St. Barbara, Lucas Cranach the Elder
Erfurt Cathedral
In the above image, the infinite is hidden behind a cloth. In keeping with that intellectual idea (that a veil can be lifted or removed over the infinite), the figures in the foreground can be read allegorically, rather than what they are: women, if you want to look at it like that, one with a child, or patterns of paint on canvas, if you want to look at it like that. That might seem absolutely normal, but actually it’s pretty extraordinary. In Eastern Christian traditions, this is not the case at all. In the Orthodox Church, for example, there are things like this:
Greek Orthodox Saint Barbara Ikon
In this tradition, there is no veil between the observer and the infinite, and the image is not an allegory. It is actually Saint Barbara, portrayed in a stylized fashion in order to insist that it is not Barbara herself or any representation of her in a physical sense. With Ikons, the presence of the infinite is right here, right now, and unmediated.
One consequence of that tradition is that every moment of every day is infinite, and the act of creation that underlies the creation of the universe can erupt at any moment, anywhere. In Christian terms, this means that Christ can rise in every weed growing between every paving stone and in every loaf of bread, but Christian terms aren’t the only way to look at it. In comparison to the Western church, in which creation took place at some point in the past and is leading towards some point in the future, that’s pretty remarkable. I’m not suggesting a return to medieval religion or a switcheroo to the Orthodox faith, but I am suggesting that if there are two completely opposing world views coming out of one tradition, that a little sidestepping of normal ways of looking things can’t hurt a bit. So, so far we have the Western tradition of art, and the Eastern tradition of ikons. Here’s a third, neither art nor ikon, but which fits into that good company:
In this one, energy has not been translated into a human story before it can be used to channel power through other human stories, or stories of the relationship of humane existence to existence itself. Which brings me back to my starting point: zero. If zero is a placeholder that unites all mathematical possibilities, in the language of mathematics, then cannot this image be zero?
And is that zero not the Big Bang? And within the potentiality of that zero is not the entirety of the universe present, right now, seeing itself at this point for the first time?
I think it is. The challenge is not to see and not to create a mathematics that represents this unity, but to do it in such a way that it is not a mathematics of numbers, with reference to itself, in long chains of logic. To put that another way, contemporary mathematics is a powerful tool that, nonetheless, creates results (such as computers or Pixar animations) that draw on a long tradition of ascetic contemplation and the contemplation of the world as an intellectual pattern in the mind of God. Whether one is secular or religious, that history can’t be shaken. What can be done, however, is to put the wholeness of the world into the language and to use the world as the zero point, the reference point, or the “I”. Let’s all look at that tomorrow. Until then:
Cottonwood Leaves in First Snow
Categories: Arts, Gaia, Nature Photography


















Simplu beautiful!
LikeLike
Thanks, Rexie! I’m glad that came across and I didn’t muck it up!
LikeLike
You never muck things up, Harold. You illuminate! Love the rowans in snow.
LikeLike
Thanks, Vicki! I love them, too.
LikeLike